Welke partijen er in een gemeente in de coalitie zitten heeft geen significant effect op de hoogte van de stijging van de Onroerendezaakbelasting (Ozb). Dat blijkt uit een analyse van Binnenlands Bestuur op basis van de Ozb-cijfers over de afgelopen vier jaar. Hoewel de verschillen tussen gemeenten groot zijn als het gaat om de verhoging van de Ozb, lijkt het niet uit te maken welke partijen er aan de knoppen draaien.
Kleur coalitie geen effect op stijging Ozb
Er bestaan grote verschillen tussen gemeenten, maar dat komt niet door de partijen die aan het roer staan.
Cijfers COELO
Het Centrum voor Onderzoek van de Economie van de Lagere Overheden (COELO) houdt ieder jaar bij hoeveel de lokale lasten, waaronder de Ozb, in gemeenten stijgen. De afgelopen raadsperiode steeg de Ozb met gemiddeld vijf procent per jaar. Maar, de verschillen tussen gemeenten zijn groot. Zo kende de gemeente Medemblik een stijging van gemiddeld 20 procent per jaar, terwijl in Hoogeveen en Emmen het tarief gemiddeld 0,3 procent toenam.
Wie claimt de Ozb?
In aanloop naar de gemeenteraadsverkiezingen van morgen, woensdag 18 maart, laaide het debat over de Ozb in menig gemeente weer op. In veel verkiezingsdebatten bleek het een heet hangijzer: ‘Bij verhoging OZB slaat de vlam in de pan tijdens het verkiezingsdebat in Hardinxveld-Giessendam’, zo kopte bijvoorbeeld lokaal nieuwmedium Het Kompas. Partijen als de VVD claimen het onderwerp met slogans als ‘Kies rust in je portemonnee’ en het verkeerd gespelde ‘Zuinig op jou geld’. Maar, hebben inwoners eigenlijk wel wat te kiezen als het gaat om de Ozb?
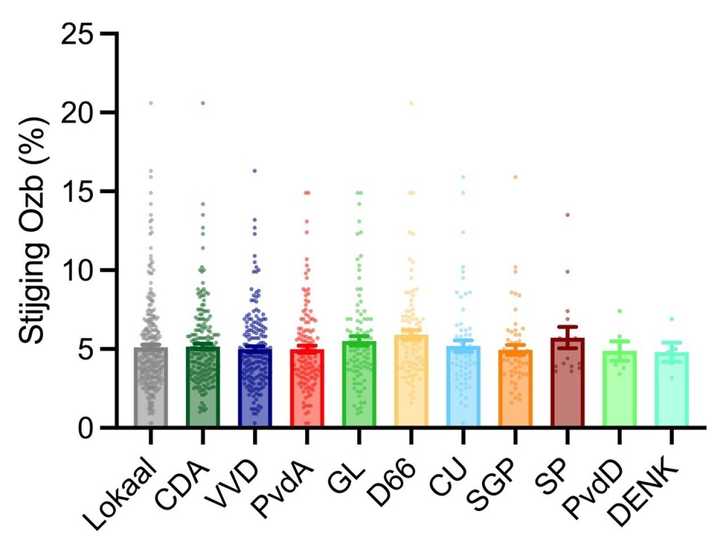
Verschillen tussen partijen klein
Het korte antwoord is ‘nee’. Binnenlands Bestuur analyseerde de cijfers van het COELO door ze te vergelijken met de coalities die na de vorige verkiezingen werden gevormd, onder andere door te kijken naar het coalitieakkoord of via de gemeentelijke informatiesystemen. Nederland telde in 2025 in totaal 342 gemeenten. Voor al die gemeenten is gekeken naar de gemiddelde Ozb stijging gedurende de afgelopen raadsperiode en welke partijen er in die periode in de coalitie zaten. Hoewel er kleine verschillen in de gemiddelde stijgingen zijn waar te nemen, zeggen die verschillen weinig over wat de kiezer kan verwachten van een partij.
PvdA en VVD verhogen Ozb precies evenveel
Zo steeg in gemeenten waar GroenLinks in de coalitie zat de Ozb met gemiddeld 5,5 procent per jaar. Waar de VVD in de coalitie zat was dit percentage 5,0 procent, precies even hoog als bij coalities met daarin de PvdA. Geen van de verschillen tussen partijen (PvdD en SGP 4,9 procent, SP 5,7 procent, CU 5,2 procent) bleken statistisch significant en berusten dus waarschijnlijk op toeval. Over lokale partijen (gemiddelde stijging van 5,1 procent per jaar wanneer zij deelnemen in een coalitie) is evenals weinig te zeggen. Niet alleen omdat alle lokale partijen voor dit onderzoek in één groep zijn gecategoriseerd, maar ook omdat de ‘lokalo’s’ in maar liefst 285 van de 342 coalities deelnamen.
Spreiding binnen partijen enorm
Het gebrek aan significante verschillen tussen partijen kan deels worden verklaard door het coalitie effect, waarbij partijen genoodzaakt zijn compromissen te sluiten met coalitiepartners. Eventuele verschillen in opvattingen over de Ozb worden zo ook voor een deel ‘platgeslagen’. Tegelijkertijd is de spreiding binnen individuele partijen zo groot dat ook moet worden geconcludeerd dat Ozb-verhoging, of juist een weerstand daartegen, niet kan worden gezien als de ideologische inborst van één of meerdere partijen. Steun voor een stijging van de Ozb lijkt vooral afhankelijk van de lokale financiële context.
Andere factoren spelen een rol
Dat er wel degelijk grote verschillen tussen gemeenten bestaan en de Ozb dus niet ‘standaard’ met bijvoorbeeld het inflatiecijfer verhoogd wordt, laat des te meer zien dat er andere factoren dan politieke kleur zijn die bepalen of er in een gemeente wordt gekozen voor een Ozb-stijging. Een Ozb-stijging wordt dan ook doorgaans verdedigd als een ‘noodzakelijk kwaad’ om de begroting rond te krijgen, in plaats van een bewuste politieke keuze. Bijvoorbeeld omdat de kosten in het sociaal domein tegenvallen, of omdat de rijksbijdrage afneemt.
Ozb op de lange termijn niet heel spannend
In zekere zin bevestigen de resultaten van het onderzoek eerdere bevindingen van het COELO. Zo constateerde het onderzoeksinstituut enkele jaren geleden dat de Ozb tussen 2008 (toen de maximering van de jaarlijkse stijging van de Ozb werd losgelaten) en 2023 landelijk gezien met nauwelijks meer dan de inflatie toenam. Hoewel de Ozb dus een vrij te besteden belasting is waarbij gemeenten ook vrij zijn deze te verhogen of te verlagen hoe zij willen, wordt er in de praktijk niet op die manier mee omgegaan. Daarbij past ook het idee dat politieke kleur vrijwel niets zegt over hoe wordt omgegaan met het Ozb-tarief.
Lokale keuzes nog steeds relevant
Hoewel het onderzoek aantoont besluiten over de Ozb doorgaans niet samenhangen met de politieke kleur van een coalitie, betekent dit niet dat er morgen bij de gemeenteraadsverkiezingen op lokaal niveau niks te kiezen valt als het gaat om de lokale belastingen. Binnen de context van een lokaal bestuur kan er wel degelijk anders worden omgegaan met (dreigende) financiële tekorten, dan simpelweg te draaien aan de Ozb-kraan. Bijvoorbeeld door hard te bezuinigen of andere vrij te besteden belastingen, zoals de toeristenbelasting, te verhogen. Maar, op de langere termijn en op landelijk niveau zijn de partijverschillen vrijwel geheel afwezig.

Plaats als eerste een reactie
U moet ingelogd zijn om een reactie te kunnen plaatsen.